Packet: Appointments to Planning Commission & Library Board, Copeland Road rezoning, Holiday and meeting schedule, Jumping Gully Road Bridge over Bevel Creek @ LCC 2025-11-12

Both meetings are on Wednesday this week because of the Memorial Day Holiday: the Work Session at 8:30 PM and the Regular Session at 5:30 PM of the Lowndes County Commission.

[Collage, LCC Packet, 2025-11-12]
Collage, LCC Packet, 2025-11-12

Here is the agenda.

They’ve got a rezoning asking for conditions to be removed from the Copeland Road subdivision, appointments to two boards (Planning and Library), a bridge replacement on Jumping Gully Road over Bevel Creek, and the 2026 Holiday Schedule and Commission Meeting Calendar.

Turns out that when Catherine Ammons resigned as Valdosta Assistant City Manager, she also quit the Lowndes County Library Board. Three people want to replace her.

The board packet, received in response to a LAKE open records request, is on the LAKE website. Images of each page are below.

For the rezoning case, see also the preceding Planning Commission meeting.

LOWNDES COUNTY BOARD OF COMMISSIONERS
PROPOSED AGENDA
WORK SESSION, WEDNESDAY, NOVEMBER 12, 2025, 8:30 a.m.
REGULAR SESSION, WEDNESDAY, NOVEMBER 12, 2025, 5:30 p.m.
327 N. Ashley Street – 2nd Floor

  1. Call to Order
  2. Invocation
  3. Pledge of Allegiance to the Flag
  4. Minutes for Approval
    1. Work Session – October 27, 2025 & Regular Session – October 28, 2025
  5. Appointments
    1. Greater Lowndes Planning Commission

      Documents:Greater Lowndes Planning Commission Appointment.pdf

    2. Lowndes County Library Board

      Documents:Lowndes County Library Board Appointment 1.pdf

  6. Public Hearing
    1. REZ-2025-16 Copeland Road Subdivision, ​2480 Copeland Rd, ​~18ac, ​County Utilities, R-10/c to R-10

      Documents:REZ-2025-16 Copeland Road Subdivision.pdf

  7. For Consideration
    1. 2026 Holiday Schedule

      Documents:2026 Holiday Schedule.pdf

    2. 2026 Commission Meeting Calendar

      Documents:2026 Commission Meeting Calendar ..pdf

  8. Bid
    1. Local Bridge Replacement Project 0019937 Jumping Gully Road at Bevel Creek Memorandum of Agreement

      Documents:Local Bridge Replacement Project 0019937 Jumping Gully Road at Bevel Creek Memorandum of Agreement.pdf

  9. Reports – County Manager
  10. Citizens Wishing to be Heard-Please State Your Name and Address
  11. Adjournment

[Appointments to Planning Commission & Library Board, Copeland Road rezoning, Holiday and meeting schedule, Jumping Gully Road Bridge over Bevel Creek]
Appointments to Planning Commission & Library Board, Copeland Road rezoning, Holiday and meeting schedule, Jumping Gully Road Bridge over Bevel Creek
PDF

[Reports, CWTBH, Adjournment]
Reports, CWTBH, Adjournment
PDF

Greater Lowndes Planning Commission

[Tommy Willis wants to be reappointed and John McCall wants to be appointed.]
Tommy Willis wants to be reappointed and John McCall wants to be appointed.
PDF

[Tommy Willis Application]
Tommy Willis Application
PDF

[John McCall application]
John McCall application
PDF

[Page 6]
Page 6
PDF

Lowndes County Library Board

[Catherine Ammons resigned from term ending June 2026. Kendal Crawford, Dean Poling, and Gary Wisenbaker want to be appointed.]
Catherine Ammons resigned from term ending June 2026. Kendal Crawford, Dean Poling, and Gary Wisenbaker want to be appointed.
PDF

[Kendal Crawford application]
Kendal Crawford application
PDF

[Page 9]
Page 9
PDF

[Dean Poling application]
Dean Poling application
PDF

[Page 11]
Page 11
PDF

[Gary Wisenbaker appointment]
Gary Wisenbaker appointment
PDF

[Page 13 is blank]
Page 13 is blank
PDF

REZ-2025-16 Copeland Road Subdivision, 2480 Copeland Rd, ~18ac, County Utilities, R-10/c to R-10

[This request seeks to remove several of the Conditions that were placed on the property as a result of REZ-2018-07[1], which was ultimately approved for R-10 by a vote of (3-2-1) with the following Conditions: 1-7.]
This request seeks to remove several of the Conditions that were placed on the property as a result of REZ-2018-07[1], which was ultimately approved for R-10 by a vote of (3-2-1) with the following Conditions: 1-7.
PDF

[GPLC recommended approval with 5 new TRC conditions.]
GPLC recommended approval with 5 new TRC conditions.
PDF

[Rezoning request by John Owens]
Rezoning request by John Owens
PDF

[Map: Branham Subdivision 2022-08-02]
Map: Branham Subdivision 2022-08-02
PDF

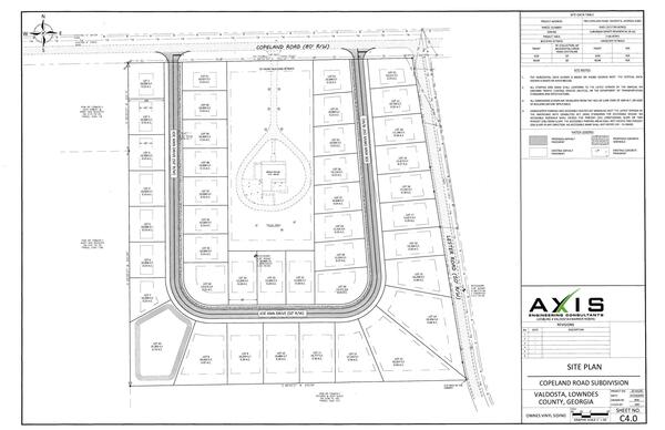
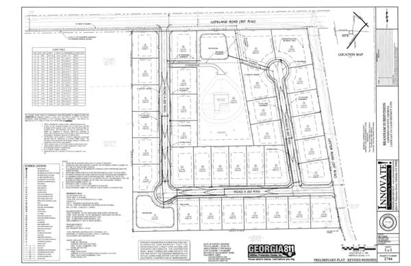
[Map: Site Plan, Copeland Road Subdivision, 2025-07-23]
Map: Site Plan, Copeland Road Subdivision, 2025-07-23
PDF

[Zoning Location Map]
Zoning Location Map
PDF

[Future Development Map]
Future Development Map
PDF

[WRPDO Site Map]
WRPDO Site Map
PDF

2026 Holiday Schedule

[Ten holidays on 12 working days]
Ten holidays on 12 working days
PDF

[Holidays Policy, Application, and Provisions]
Holidays Policy, Application, and Provisions
PDF

[Responsibility]
Responsibility
PDF

Memorandum: 2026 Holiday Schedule

[Including 2027-01-01 New Year]
Including 2027-01-01 New Year
PDF

2026 Commission Meeting Calendar

[The Commission is asked to review and approve the 2026 Commission Meeting Calendar.]
The Commission is asked to review and approve the 2026 Commission Meeting Calendar.
PDF

[The 2026 Meeting Calendar]
The 2026 Meeting Calendar
PDF

Local Bridge Replacement Project 0019937 Jumping Gully Road at Bevel Creek Memorandum of Agreement Work

[BUDGET IMPACT: $50,000.00 FUNDING SOURCE: (X) SPLOST, to GDOT for RoW contributions.]
BUDGET IMPACT: $50,000.00 FUNDING SOURCE: (X) SPLOST, to GDOT for RoW contributions.
PDF

[MEMORANDUM OF AGREEMENT]
MEMORANDUM OF AGREEMENT
PDF

[Page 30]
Page 30
PDF

[Page 31]
Page 31
PDF

[Page 32]
Page 32
PDF

[Page 33]
Page 33
PDF

[Page 34]
Page 34
PDF

[Page 35]
Page 35
PDF

[Page 36]
Page 36
PDF

[Page 37]
Page 37
PDF

October-27-2025-Work-Session-Minutes

[Section 125 Plan Document Renewal for 2026]
Section 125 Plan Document Renewal for 2026
PDF

[ADJOURNMENT]
ADJOURNMENT
PDF

October-28-2025-Regular-Session-Minutes

[Human Resources Director, Kevin Beals, presented the item. Mr. Beals stated approval of the plan]
Human Resources Director, Kevin Beals, presented the item. Mr. Beals stated approval of the plan
PDF

[Page 2]
Page 2
PDF

[ADJOURNMENT]
ADJOURNMENT
PDF

-jsq

Investigative reporting costs money, for open records requests, copying, web hosting, gasoline, and cameras, and with sufficient funds we can pay students to do further research. You can donate to LAKE today!
http://www.l-a-k-e.org/blog/donate

One thought on “Packet: Appointments to Planning Commission & Library Board, Copeland Road rezoning, Holiday and meeting schedule, Jumping Gully Road Bridge over Bevel Creek @ LCC 2025-11-12

  1. Pingback: Packet: 1 County, 4 Valdosta, 1 Hahira @ GLPC 2025-10-27 | On the LAKE front

Leave a Reply

Your email address will not be published. Required fields are marked *