Lowndes Area Knowledge Exchange (LAKE)

[prev][index][next] [index to photographs]

of this Agreement except upon thirty (30) days prior written notice to the County. Cancellation

Bid for Bemiss Road Right of Way Mowing
Packet: Alcohol, Health insurance, GEFA Lift State Pump Loan, Rascals demolition for Fire Station, Bemiss Road Mowing @ LCC
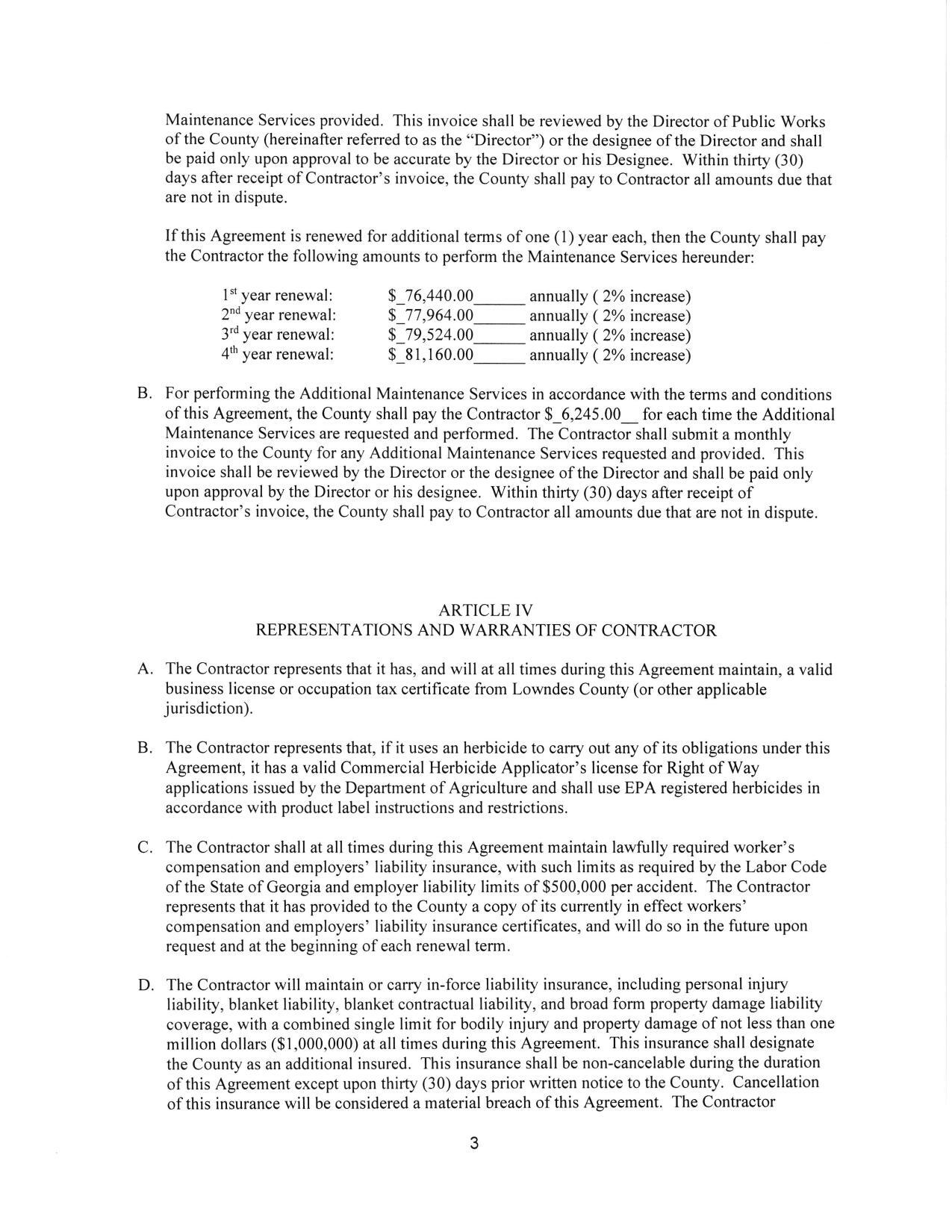
27 October 2025

 
of this Agreement except upon thirty (30) days prior written notice to the County. Cancellation
smaller PDF