Lowndes Area Knowledge Exchange (LAKE)
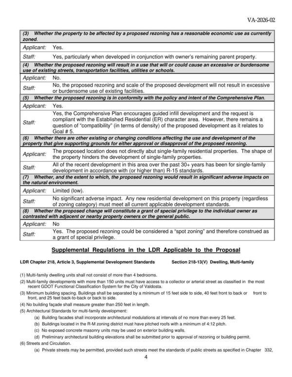
Supplemental Regulations in the LDR Applicable to the Proposal
6. VA-2026-02 RST Construction, Lake Laurie Drive
Packet: Lake Laurie Drive case withdrawn, another Valdosta case, 2 county cases @ GLPC
30 March 2026
bigger
PDF
Photographs
by
Lowndes Area Knowledge Exchange (LAKE)
,
licensed by a
Creative Commons Attribution-Share Alike 3.0 U.S. License
.
Lowndes Area Knowledge Exchange (LAKE)